Đào tạo, sát hạch, cấp GPLX
Cải cách hành chính
Thông báo luồng

 

Thống kê truy cập

Số lượng và lượt người truy cập

  • Online 6

  • Hôm nay 4395

  • Tổng 3.970.196

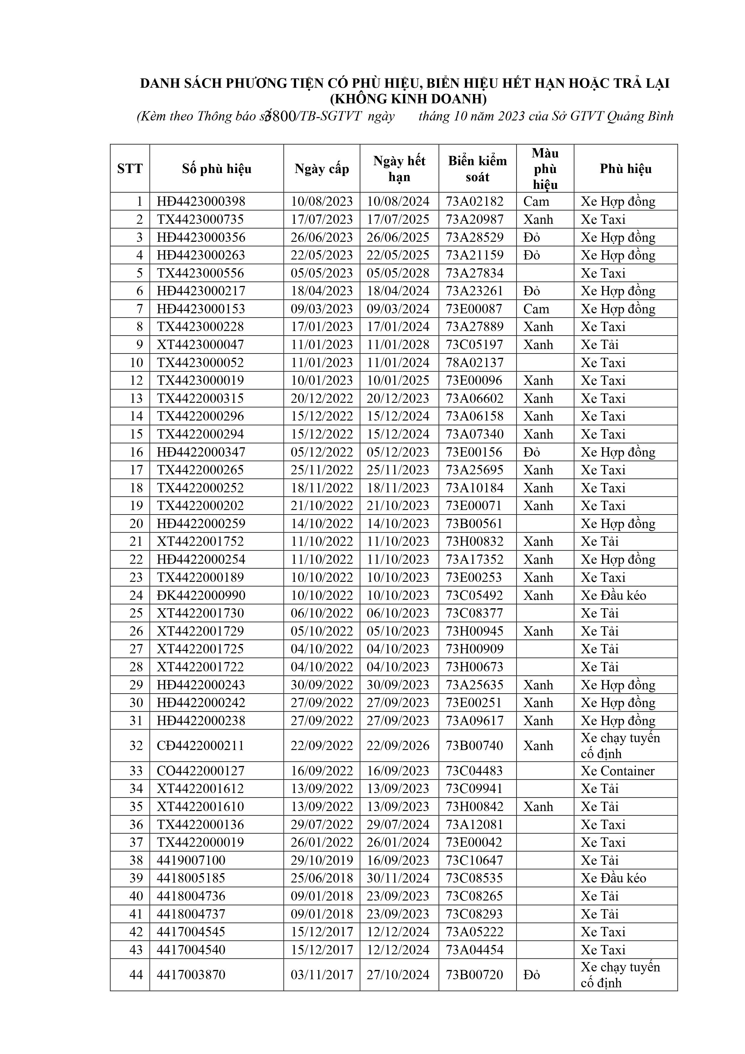
Thông báo danh sách phương tiện, phù hiệu, biển hiệu và đơn vị kinh doanh vận tải do Sở GTVT Quảng Bình không còn quản lý (hết giá trị sử dụng)

Font size : A- A A+

Phụ lục kèm theo Thông báo số 3015/TB-SGTVT

More
-->