Đào tạo, sát hạch, cấp GPLX
Cải cách hành chính
Thông báo luồng

 

Thống kê truy cập

Số lượng và lượt người truy cập

  • Online 18

  • Hôm nay 4252

  • Tổng 3.986.425

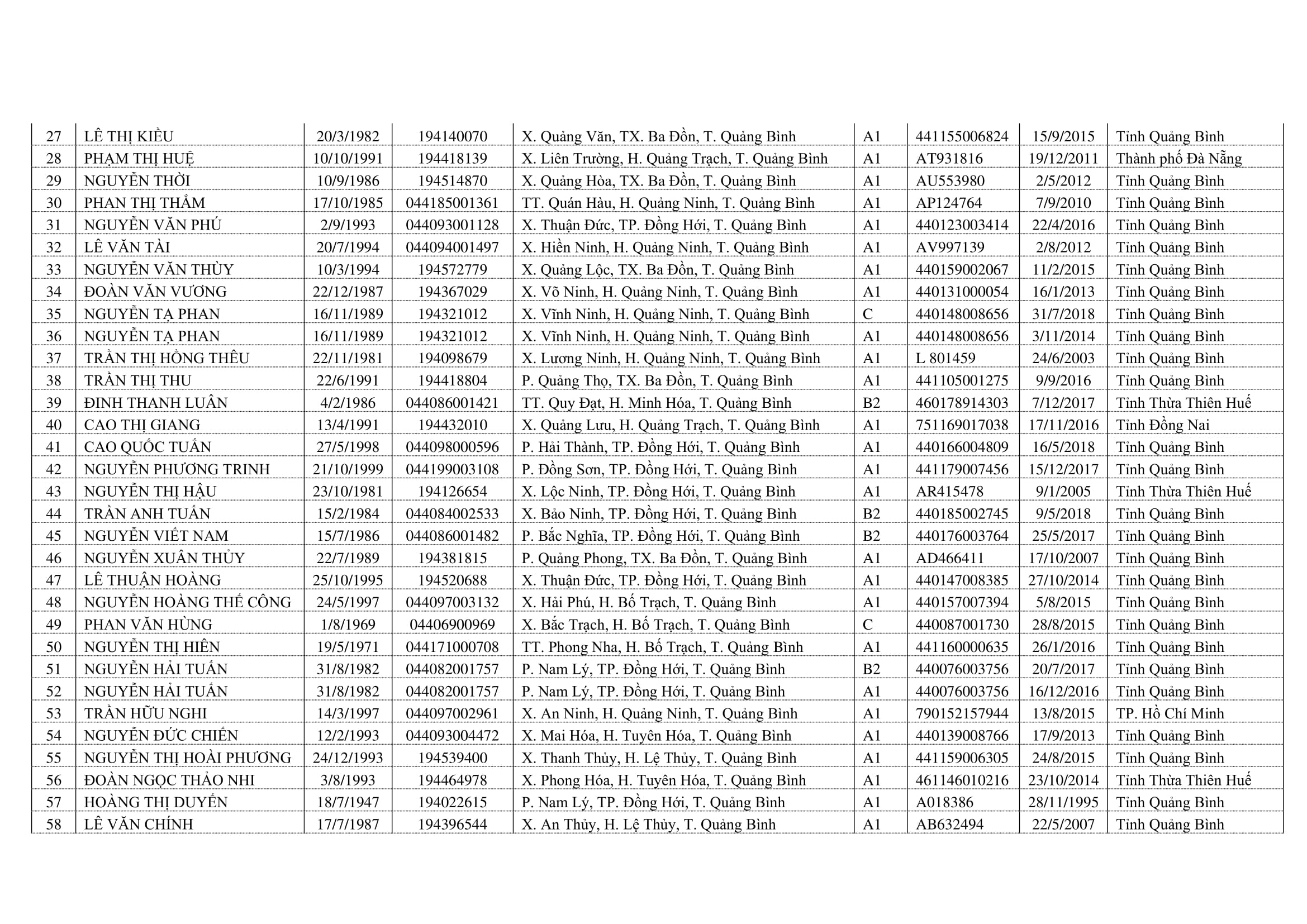
Thông báo hủy Giấy phép lái xe bị mất, đã được cấp lại tháng 11/2020

Font size : A- A A+

 

 

 

 

 

 

 

 

 

More
-->