Chi tiết tin - Sở Giao thông Vận tải
More
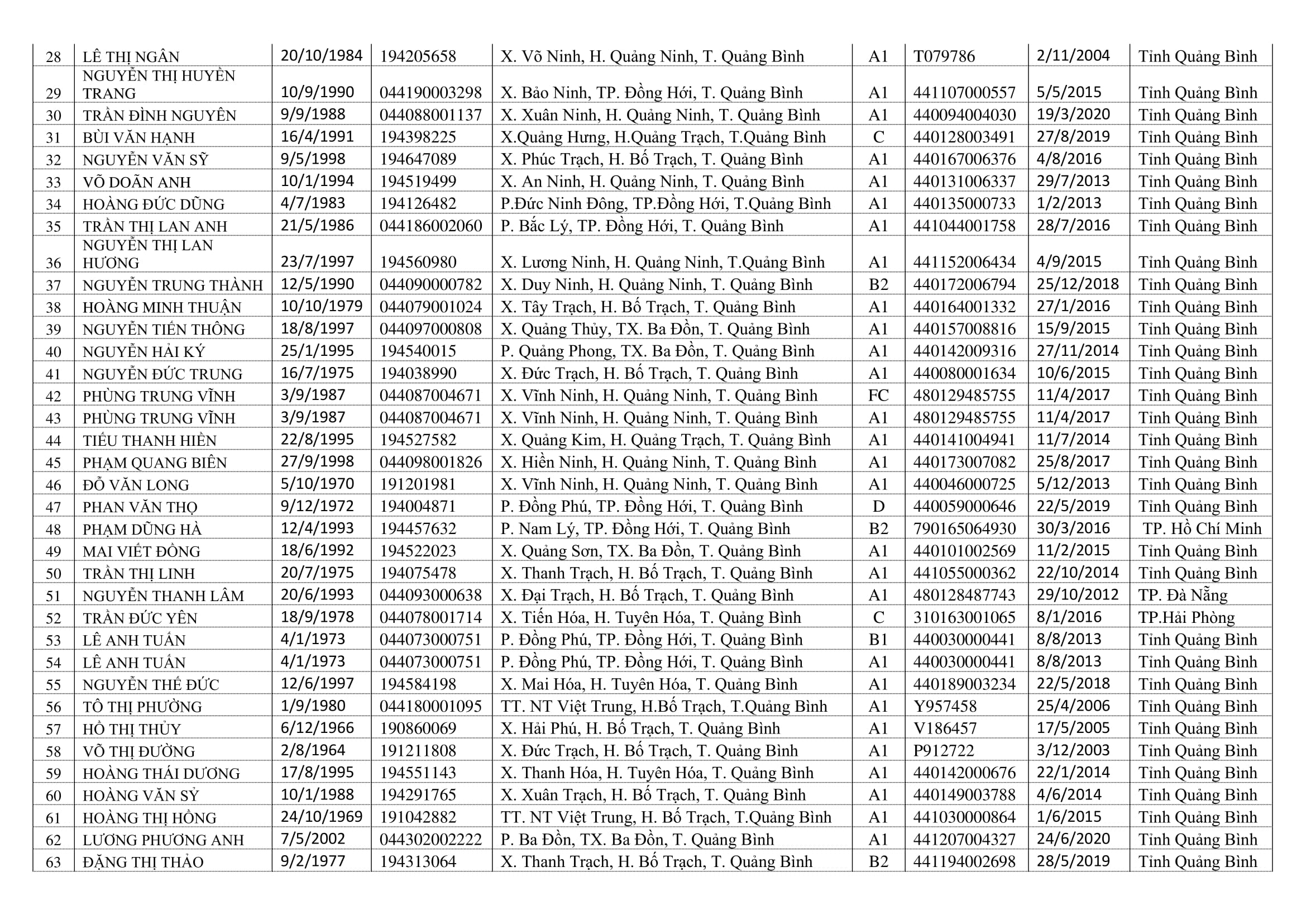
- Thông báo hủy Giấy phép lái xe bị mất, đã được cấp lại tháng 11/2020
- Lịch sát hạch Giấy phép lái xe tháng 12/2020 (Điều chỉnh)
- Thông báo hủy Giấy phép lái xe bị mất, đã được cấp lại tháng 10/2020
- Thông báo hủy Giấy phép lái xe, đã được cấp lại trong tháng 9/2020
- Thông báo về việc công bố các cơ sở đào tạo lái xe, trung tâm sát hạch lái xe do Sở Giao thông vận tải Quảng Bình quản lý
- Lịch sát hạch Giấy phép lái xe tháng 05/2020
- Thông báo Đăng ký khai thác tuyến vận tải hành khách cố định của HTX vận tải hành khách Sông Gianh (tuyến Quảng Bình - Thừa Thiên Huế và ngược lại)
- Thông báo Điều chỉnh phương án khai thác tuyến vận tải hành khách cố định của HTX ô tô vận tải hành khách Kiến Giang (Tuyến Quảng Bình - Đà Nẵng và ngược lại)
- Tăng cường theo dõi, chấn chỉnh và xử lý vi phạm thông qua dữ liệu từ thiết bị giám sát hành trình
- Thông báo hủy giấy phép lái xe mất xin cấp lại tháng 09/2019









